Припливно-витяжна установка Вентс ВУЕ 300 ПБЕ ЕС П А21 DTV
- Виробник: \u0412\u0435\u043d\u0442\u0441
- Код товару: 277166
- Артикул: 282328
Вентс ВУЕ 300 ПБЕ ЕС П А21 DTV — якісна припливно-витяжна установка для побутових приміщень з витратою повітря 340 м3/год, швидкістю обертання 3270 об/хв, підключенням до електричної мережі з напругою до 230 В. Передбачено вбудований фільтр G4, можна докупити окремо та встановити F7. Рекомендуємо купити припливно-витяжну установку Вентс ВУЕ 300 ПБЕ ЕС П А21 DTV з режимом Boost та тихою роботою вночі при охолодженні. Регулятор швидкості входить у комплектацію.
З яких причин купують довговічне встановлення Вентс ВУЕ 300 ПБЕ ЕС П А21 DTV
Магазин Аіркулер представляє обладнання з якісних матеріалів представлених на фото в каталозі. Корпус виготовляється зі стійкої до корозії пофарбованої сталі, для теплоізоляції використовується шар мінеральної вати завтовшки 20 мм. Модель доповнена пластинчастим ентальпійним рекуператором. Її набувають завдяки характеристикам:
- Вбудований нагрівач потужністю 15 кВт. Вмикається автоматично для захисту від обмерзання.
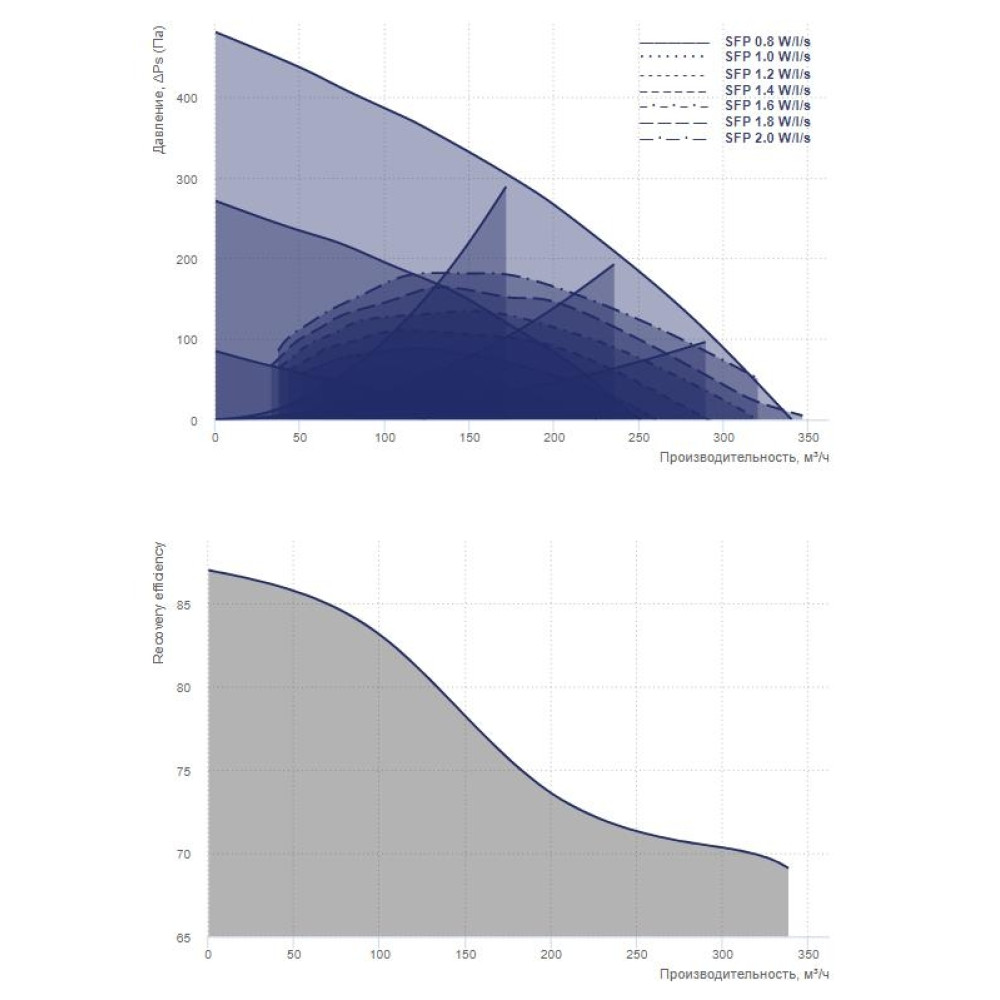
- Висока ефективність. При рекуперації тепла — 69,87%. Затягує з вулиці свіже повітря та одночасно підігріває його.
- Робота при різній температурі взимку та влітку. Може змінюватись від -25 °C до 40 °C.
- Вентилятор із ЄС-двигуном. Вимагає мінімальну кількість електроенергії.
Ціна припливно-витяжної установки Вентс ВУЕ 300 ПБЕ ЕС П А21 DTV вважається вигідною завдяки наявності п'яти датчиків. Вони повідомляють про PM2.5, CO2, вологість у приміщенні, температуру припливного повітря. П'ятий використовується для пожежної сигналізації.
Керування якісним виробом Вентс ВУЕ 300 ПБЕ ЕС П А21 DTV після встановлення
Ви можете докупити окремо панель керування, використовувати смартфон (за попереднього завантаження програми), інтегрувати обладнання в систему розумного будинку за допомогою протоколу комунікації Modbus. Виріб вартістю 83 524 грн встановлюється на стелі після складання проєкту. Його можна винести на балкон, у підвал або в комору — будь-яке опалювальне приміщення.
Два методи продажу припливно-витяжної установки Вентс ВУЕ 300 ПБЕ ЕС П А21 DTV
Щоб скористатися адресною кур'єрською доставкою, купуйте в офіційних магазинах. Останні працюють у Києві та Львові. Бажаєте оформити замовлення у вільний час через інтернет? Обладнання привезе Нова пошта або Укрпошта разом із гарантійним талоном та інструкцією з експлуатації.
